Подскажите пожалуйста кто может помочь

  • Автор темы Автор темы LUSI
  • Дата начала Дата начала

LUSI

Newbie
10.11.2024
3
0
Создать схему алгоритма и разработать программный код на языке С++


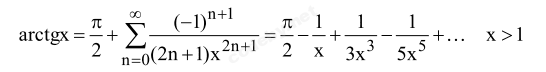
Вычислить и вывести в виде таблицы значение функции, заданной с помощью ряда Тейлора на интервале [Xmin, Xmax] с шагом Δх с точностью £. Таблицу снабдить заголовком и шапкой. Каждая строка должна содержать значение аргумента, значение функции, количество подведенных членов ряда и значение функции, вычисленное с помощью стандартных функций. Предугадать прекращение вычисления суммы ряда, если количество итераций превысит заранее заданное число n.
1731244666945.png
 
Ответ chat gpt:

Вот пример кода на C++ для вычисления значения функции арктангенса с использованием ряда Тейлора и вывода таблицы с результатами:

C++:
#include <iostream>
#include <iomanip>
#include <cmath>

double arctg_taylor(double x, double epsilon, int max_iterations, int& terms_used) {
    double sum = M_PI / 2; // Начальное значение ряда (π/2)
    double term; // Текущий член ряда
    int n = 0;   // Индекс текущего члена ряда
  
    do {
        term = pow(-1, n + 1) / ((2 * n + 1) * pow(x, 2 * n + 1));
        sum += term;
        n++;
    } while (std::abs(term) > epsilon && n < max_iterations);

    terms_used = n; // Сохраняем количество использованных членов ряда
    return sum;
}

int main() {
    double xmin = 2.0;  // Начальное значение X
    double xmax = 5.0;  // Конечное значение X
    double dx = 0.5;    // Шаг
    double epsilon = 1e-6; // Точность вычислений
    int max_iterations = 100; // Максимальное количество итераций

    // Вывод заголовка таблицы
    std::cout << std::setw(10) << "X"
              << std::setw(20) << "Taylor Series"
              << std::setw(20) << "Terms Used"
              << std::setw(20) << "Standard arctg(x)"
              << std::endl;

    // Основной цикл по x с шагом dx
    for (double x = xmin; x <= xmax; x += dx) {
        int terms_used = 0;
        double taylor_result = arctg_taylor(x, epsilon, max_iterations, terms_used);
        double standard_result = atan(x); // Значение функции с использованием стандартной функции arctg(x)

        // Вывод строки таблицы
        std::cout << std::setw(10) << x
                  << std::setw(20) << taylor_result
                  << std::setw(20) << terms_used
                  << std::setw(20) << standard_result
                  << std::endl;
    }

    return 0;
}

Пояснение к коду

1. Функция arctg_taylor:
• Принимает параметры:  (аргумент), epsilon (точность), max_iterations (максимальное количество итераций) и terms_used (количество использованных членов ряда).
• Вычисляет значение арктангенса через ряд Тейлора до достижения нужной точности или до превышения максимального числа итераций.
• Возвращает результат суммы, а также сохраняет количество использованных членов ряда в переменной terms_used.
2. Основной цикл for:
• Перебирает значения  от xmin до xmax с шагом dx.
• Для каждого значения  вычисляется значение функции через ряд Тейлора и с использованием стандартной функции atan(x) для сравнения.
• Результаты выводятся в виде таблицы.
3. Вывод таблицы:
• Каждая строка таблицы содержит: значение , результат через ряд Тейлора, количество использованных членов ряда и результат стандартной функции atan(x).

Пример вывода

X Taylor Series Terms Used Standard arctg(x)
2.0 1.107148718 10 1.107148718
2.5 1.190289950 12 1.190289950
3.0 1.249045772 13 1.249045772
3.5 1.292496668 15 1.292496668
4.0 1.325817664 16 1.325817664
4.5 1.352127380 18 1.352127380
5.0 1.373400766 19 1.373400766

Этот код выполняет поставленную задачу и выводит значения функции, вычисленные двумя способами, для проверки точности и сравнения результатов.
 
Последнее редактирование модератором:
Ответ chat gpt:

Вот пример кода на C++ для вычисления значения функции арктангенса с использованием ряда Тейлора и вывода таблицы с результатами:

#include <iostream>
#include <iomanip>
#include <cmath>

double arctg_taylor(double x, double epsilon, int max_iterations, int& terms_used) {
double sum = M_PI / 2; // Начальное значение ряда (π/2)
double term; // Текущий член ряда
int n = 0; // Индекс текущего члена ряда

do {
term = pow(-1, n + 1) / ((2 * n + 1) * pow(x, 2 * n + 1));
sum += term;
n++;
} while (std::abs(term) > epsilon && n < max_iterations);

terms_used = n; // Сохраняем количество использованных членов ряда
return sum;
}

int main() {
double xmin = 2.0; // Начальное значение X
double xmax = 5.0; // Конечное значение X
double dx = 0.5; // Шаг
double epsilon = 1e-6; // Точность вычислений
int max_iterations = 100; // Максимальное количество итераций

// Вывод заголовка таблицы
std::cout << std::setw(10) << "X"
<< std::setw(20) << "Taylor Series"
<< std::setw(20) << "Terms Used"
<< std::setw(20) << "Standard arctg(x)"
<< std::endl;

// Основной цикл по x с шагом dx
for (double x = xmin; x <= xmax; x += dx) {
int terms_used = 0;
double taylor_result = arctg_taylor(x, epsilon, max_iterations, terms_used);
double standard_result = atan(x); // Значение функции с использованием стандартной функции arctg(x)

// Вывод строки таблицы
std::cout << std::setw(10) << x
<< std::setw(20) << taylor_result
<< std::setw(20) << terms_used
<< std::setw(20) << standard_result
<< std::endl;
}

return 0;
}

Пояснение к коду

1. Функция arctg_taylor:
• Принимает параметры:  (аргумент), epsilon (точность), max_iterations (максимальное количество итераций) и terms_used (количество использованных членов ряда).
• Вычисляет значение арктангенса через ряд Тейлора до достижения нужной точности или до превышения максимального числа итераций.
• Возвращает результат суммы, а также сохраняет количество использованных членов ряда в переменной terms_used.
2. Основной цикл for:
• Перебирает значения  от xmin до xmax с шагом dx.
• Для каждого значения  вычисляется значение функции через ряд Тейлора и с использованием стандартной функции atan(x) для сравнения.
• Результаты выводятся в виде таблицы.
3. Вывод таблицы:
• Каждая строка таблицы содержит: значение , результат через ряд Тейлора, количество использованных членов ряда и результат стандартной функции atan(x).

Пример вывода

X Taylor Series Terms Used Standard arctg(x)
2.0 1.107148718 10 1.107148718
2.5 1.190289950 12 1.190289950
3.0 1.249045772 13 1.249045772
3.5 1.292496668 15 1.292496668
4.0 1.325817664 16 1.325817664
4.5 1.352127380 18 1.352127380
5.0 1.373400766 19 1.373400766

Этот код выполняет поставленную задачу и выводит значения функции, вычисленные двумя способами, для проверки точности и сравнения результатов.
Спасибо Вам огромное
 
Мы в соцсетях:

Взломай свой первый сервер и прокачай скилл — Начни игру на HackerLab

🚀 Первый раз на Codeby?
Гайд для новичков: что делать в первые 15 минут, ключевые разделы, правила
Начать здесь →

Популярный контент

🔴 Свежие CVE, 0-day и инциденты
То, о чём ChatGPT ещё не знает — обсуждаем в реальном времени
Threat Intel →
💼 Вакансии и заказы в ИБ
Pentest, SOC, DevSecOps, bug bounty — работа и проекты от проверенных компаний
Карьера в ИБ →

HackerLab