Lamanic
Newbie
- 15.11.2022
- 4
- 0
Здравствуйте, данные задачи мне нужно расписать в виде кода на языке С++, но я не смог, поэтому я тут. Блин, буду реально рад и признателен, если кто-то поможет.
1. Три точки заданы координатами на плоскости: A(x1,y1), B(x2,y2) и C(x3,y3). Найти длины отрезков AB и BC.
2. Разработать программу на языке С++. Дано вещественное число a. Для функции y = f(x), график которой приведён ниже, вычислить f(a). Рисунок ниже.
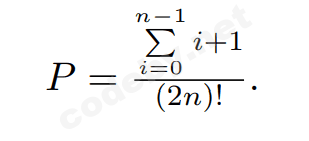
3. Задано целое положительное число n. Определить значение выражения:
1. Три точки заданы координатами на плоскости: A(x1,y1), B(x2,y2) и C(x3,y3). Найти длины отрезков AB и BC.
2. Разработать программу на языке С++. Дано вещественное число a. Для функции y = f(x), график которой приведён ниже, вычислить f(a). Рисунок ниже.
3. Задано целое положительное число n. Определить значение выражения: