Задача: Итерационные циклы, вычисление знач. функции(ряд) с зад. точно

  • Автор темы Автор темы Miller85
  • Дата начала Дата начала
Статус
Закрыто для дальнейших ответов.
M

Miller85

Дано задание

1.jpg

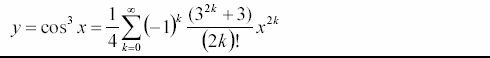
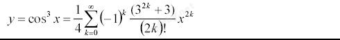
Вот такая формула
3.jpg

Не могу понять где ошибка...
Думаю не правильно вычислил бета функцию...(Нигде не могу найти формулу по её точному вычислению)

C++:
#include<iostream.h>
#include<math.h>
#include<stdio.h>
void main()
{
double x,y,eps,a,beta;
int k,n;
cout<<"VVedite x=";
cin>>x;
y=pow(cos(x),3);
cout<<endl<<"Pri x="<<x<<"tochnoe znachenie y="<<y<<endl<<endl;
cout<<"Vvedite eps (conec - 0):";
cin>>eps;
while(eps!=0)
{
for (y=0, n=0, k=1, a=3*(x*x); fabs(a)>=eps&&n<1000;
y+a, n++, beta=(-9.0*(x*x))/(2*k+1)/(k+1), a*=beta, k++);
cout<<"Pri eps="<<eps<<"priblogonnoe znachenie y="<<1-y<<endl
<<"prisumirovanno"<<n<<"chlenov ryada"<<endl<<endl;
cout<<"Vvedite eps (konec - 0):";
cin>>eps;
}
cout<<"Konec programmi. Nagmite Enter.";
getchar();
}
 
Не... Я имею ввиду между твоим и примером который я выложил в этой теме... Он был из методички
 
В моем коде тем более 2 варианта...
А если типы еще к более менее часто встречаемым приведешь (типо просто long) вообще путаница исчезнит ;-))
З.Ы. Я размерность завысил, то что 3ий день уже ПИ c точностью до 0.000000000000001 считаю ;-) Вот и сую где попало типы такие громадные ;-))) А то бесит уже... Хоть комп не вырубай, все досчитать не могу ;-) Кстати подобная твоей задача... ;-))) Время указанно в секундах ;-)) (это я с работы пришел и сразу запустил, в этот раз комп вырубать не буду ;-)) За 2 дня точно досчитает ) ;-)
 

Вложения

  • fuckPi.jpg
    fuckPi.jpg
    41 КБ · Просмотры: 450
Лично мне как раз пример из методички кажется очень: дурацким, Очень запутанным(как будто спецом студентов путать захотели если честно), и мало отвечающим подходу нахождения прибл. значения путем задания точности....
Но это сугубо мое мнение.... Хотя я думаю и Лэйз (lazybiz) и другие со мной согласятся...

Значит слушай что скажешь преподу:
1) Не смог разобраться в методички
2) Нашел литературы по алгоритмическим языкам программирования, ну мля, назовем (Численные методы в алгоритмических языках автор: доц. Сухомлинов А.И. (кафедра ИСОИУ ДВГТУ) (так моего препода звали по БД :-))
3) Прочитал... Сделал выводы... Посчитал что такой подход (тыкнешь препода в монитор где открыта твоя программа), намного более понятен и правелен. (что бы препод не обиделся, опустишь глазки и промямлишь "Ну... Ну я так думаю, или я просто чего то просто еще не понимаю.. Объясните {Тут его имя отчество}" :-)
Все счастливы и довольны ;-)
 
:what?: понятно... Спасибо большое!!!
 
Статус
Закрыто для дальнейших ответов.
Мы в соцсетях:

Взломай свой первый сервер и прокачай скилл — Начни игру на HackerLab

🚀 Первый раз на Codeby?
Гайд для новичков: что делать в первые 15 минут, ключевые разделы, правила
Начать здесь →

Популярный контент

🔴 Свежие CVE, 0-day и инциденты
То, о чём ChatGPT ещё не знает — обсуждаем в реальном времени
Threat Intel →
💼 Вакансии и заказы в ИБ
Pentest, SOC, DevSecOps, bug bounty — работа и проекты от проверенных компаний
Карьера в ИБ →

HackerLab