M
ming
Помножите с задачей?
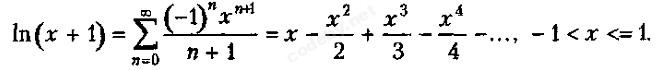
Вычислить и вывести на экран в виде таблицы значения функции, заданной с помощью ряда
Тейлора, на интервале от xнач. до xкон. с шагом dx и с точностью e. Каждая строка таблицы
должна содержать значение аргумента, значение функции и количество просуммированных
членов ряда.
Заранее всем спасибо за помощь!
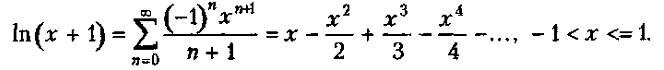
Вычислить и вывести на экран в виде таблицы значения функции, заданной с помощью ряда
Тейлора, на интервале от xнач. до xкон. с шагом dx и с точностью e. Каждая строка таблицы
должна содержать значение аргумента, значение функции и количество просуммированных
членов ряда.
Заранее всем спасибо за помощь!